Durbin Watson Test: Definition, Assumptions, And Interpretation
Durbin Watson Test: Definition, Assumptions, and Interpretation
The Durbin-Watson test is a crucial statistical tool used to detect the presence of autocorrelation in the residuals from a regression analysis. Autocorrelation, also known as serial correlation, occurs when the error terms in a regression model are correlated with each other. This violates one of the key assumptions of ordinary least squares (OLS) regression, which assumes that the errors are independent. When autocorrelation is present, the OLS estimators are still unbiased, but they are no longer the best linear unbiased estimators (BLUE), meaning that their variances are not the smallest possible. This can lead to inaccurate inferences and unreliable hypothesis testing. Understanding the Durbin-Watson test is essential for ensuring the validity and reliability of regression models, particularly in time series data where autocorrelation is a common issue. So, guys, let’s dive in and break down everything you need to know about this test!
Table of Contents
- What is the Durbin-Watson Test?
- How the Test Works
- Practical Applications
- Assumptions of the Durbin-Watson Test
- 1. The Regression Model Includes an Intercept Term
- 2. The Independent Variables Are Non-Stochastic
- 3. The Error Terms Are Normally Distributed
- 4. The Model Does Not Include Lagged Dependent Variables
- Interpreting the Durbin-Watson Statistic
- Critical Values and Decision Rule
- Example Interpretation
- Addressing Autocorrelation
- Conclusion
What is the Durbin-Watson Test?
The Durbin-Watson test is specifically designed to detect first-order autocorrelation, which means it checks whether the error term in one period is correlated with the error term in the previous period. The test statistic, denoted as ’d’, ranges from 0 to 4. A value of 2 indicates no autocorrelation, values close to 0 suggest positive autocorrelation, and values close to 4 suggest negative autocorrelation. The test was developed by James Durbin and Geoffrey Watson and is widely used due to its simplicity and effectiveness.
How the Test Works
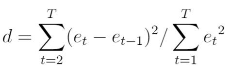
The Durbin-Watson test assesses whether the residuals from a regression model are correlated. The test statistic ’d’ is calculated using the following formula:
d = Σ(et - et-1)² / Σet²
Where:
- et represents the residual at time t.
- et-1 represents the residual at time t-1.
The formula essentially measures the squared differences between consecutive residuals and compares it to the sum of the squared residuals. If the residuals are positively correlated, the differences between consecutive residuals will be small, resulting in a small ’d’ value. Conversely, if the residuals are negatively correlated, the differences will be large, resulting in a ’d’ value closer to 4.
Practical Applications
The Durbin-Watson test is particularly useful in econometrics, finance, and other fields where time series data is analyzed. For instance, in economics, it can be used to check for autocorrelation in models predicting GDP growth, inflation rates, or unemployment figures. In finance, it can be applied to analyze stock prices, interest rates, and other financial time series. Detecting and addressing autocorrelation is crucial for making accurate forecasts and informed decisions based on these models. This ensures that the models are reliable and that the conclusions drawn from them are valid, providing a solid foundation for policy-making and investment strategies. Ignoring autocorrelation can lead to misguided policies and poor investment choices, highlighting the importance of the Durbin-Watson test in these domains.
Assumptions of the Durbin-Watson Test
Before applying the Durbin-Watson test, it’s important to ensure that your data meets certain assumptions. These assumptions are crucial for the validity of the test results. Violating these assumptions can lead to incorrect conclusions about the presence or absence of autocorrelation. Understanding and verifying these assumptions is a critical step in the regression analysis process. Ensuring these assumptions are met helps in achieving reliable and accurate results, ultimately leading to better-informed decisions based on the model.
1. The Regression Model Includes an Intercept Term
The regression model must include an intercept term . The Durbin-Watson test is designed to work with models that have a constant term. If the intercept is omitted, the test statistic may not be reliable. The intercept term accounts for the baseline level of the dependent variable when all independent variables are zero, and its presence is essential for the proper functioning of the Durbin-Watson test. Without the intercept, the residuals may exhibit patterns that falsely indicate autocorrelation. Therefore, always ensure that your regression model includes an intercept when using the Durbin-Watson test to avoid misleading results. The intercept provides a crucial reference point for the model, enabling a more accurate assessment of the residuals’ behavior and the detection of true autocorrelation.
2. The Independent Variables Are Non-Stochastic
The independent variables are assumed to be non-stochastic , meaning they are fixed or non-random. This assumption is often met in experimental settings where the values of the independent variables are controlled by the researcher. In observational studies, this assumption implies that the independent variables are measured without error. If the independent variables are stochastic, the Durbin-Watson test may not be valid. Stochastic independent variables introduce additional sources of variation that can confound the detection of autocorrelation. In such cases, alternative tests or adjustments to the Durbin-Watson test may be necessary to account for the stochastic nature of the independent variables and ensure the reliability of the results. Ensuring non-stochasticity helps to isolate the autocorrelation in the error terms, providing a more accurate assessment of the model’s validity.
3. The Error Terms Are Normally Distributed
While the Durbin-Watson test does not strictly require normality of the error terms, the test’s power is greatest when the errors are normally distributed. Normality implies that the residuals are symmetrically distributed around zero. Deviations from normality can affect the test’s ability to accurately detect autocorrelation, particularly in small samples. If the error terms are not normally distributed, consider using transformations or non-parametric tests to address this issue. Transformations, such as taking the logarithm of the dependent variable, can sometimes help to normalize the error terms. Alternatively, non-parametric tests, which do not rely on distributional assumptions, may provide a more robust assessment of autocorrelation in the presence of non-normal errors. Addressing non-normality can enhance the reliability of the Durbin-Watson test and improve the accuracy of the regression analysis.
4. The Model Does Not Include Lagged Dependent Variables
The Durbin-Watson test is not appropriate for models that include lagged dependent variables as predictors. Lagged dependent variables introduce autocorrelation by definition, as the current value of the dependent variable is directly related to its past values. In such cases, the Durbin-Watson statistic will be biased towards 2, indicating no autocorrelation even when it is present. For models with lagged dependent variables, alternative tests such as the Breusch-Godfrey test or the Ljung-Box test are more appropriate. These tests are specifically designed to handle the complexities introduced by lagged dependent variables and provide a more accurate assessment of autocorrelation. Using the Durbin-Watson test in the presence of lagged dependent variables can lead to incorrect conclusions and invalidate the regression analysis. Therefore, it is crucial to use the appropriate test based on the model’s specification.
Interpreting the Durbin-Watson Statistic
The Durbin-Watson statistic ranges from 0 to 4, with values providing insights into the presence and nature of autocorrelation. A value of 2 indicates no autocorrelation, values close to 0 suggest positive autocorrelation, and values close to 4 suggest negative autocorrelation. However, interpreting the Durbin-Watson statistic requires comparing it to critical values from a Durbin-Watson table. These critical values depend on the sample size and the number of independent variables in the model. Understanding how to use these critical values is essential for making accurate conclusions about the presence or absence of autocorrelation. So, let’s get into the nitty-gritty of interpreting this statistic!
Critical Values and Decision Rule
The Durbin-Watson test involves comparing the calculated ’d’ statistic to two critical values, dL (lower critical value) and dU (upper critical value), which are obtained from a Durbin-Watson table. The decision rule is as follows:
- If d < dL , there is evidence of positive autocorrelation.
- If d > 4 - dL , there is evidence of negative autocorrelation.
- If dU < d < 4 - dU , there is no evidence of autocorrelation.
- If dL ≤ d ≤ dU or 4 - dU ≤ d ≤ 4 - dL , the test is inconclusive.
The inconclusive region means that the test cannot definitively determine whether autocorrelation is present. In such cases, additional tests or a larger sample size may be needed to reach a conclusion. The Durbin-Watson table provides critical values for different sample sizes and numbers of independent variables, allowing for a more precise assessment of autocorrelation.
Example Interpretation
Suppose you have a regression model with a sample size of 50 and 3 independent variables. You calculate the Durbin-Watson statistic to be 1.5. Consulting a Durbin-Watson table, you find that dL = 1.40 and dU = 1.65. Since 1.40 ≤ 1.5 ≤ 1.65, the test is inconclusive. This means you cannot definitively conclude whether there is positive autocorrelation. You might need to consider other tests or gather more data to make a clearer determination. If the Durbin-Watson statistic were 1.2, which is less than dL (1.40), you would conclude that there is evidence of positive autocorrelation. Conversely, if the Durbin-Watson statistic were 2.8, and 4 - dU = 2.35 and 4 - dL = 2.60, since 2.8 > 2.60, you would conclude that there is evidence of negative autocorrelation.
Addressing Autocorrelation
If the Durbin-Watson test indicates the presence of autocorrelation, it’s important to address this issue to ensure the validity of your regression model. Several methods can be used to correct for autocorrelation, including:
- Generalized Least Squares (GLS): GLS is a method that transforms the data to remove the autocorrelation. This involves estimating the autocorrelation parameter and using it to adjust the data before running the regression.
- Newey-West Standard Errors: This method adjusts the standard errors of the coefficients to account for autocorrelation. It does not change the coefficient estimates but provides more accurate standard errors, leading to more reliable hypothesis testing.
- Adding Lagged Variables: Including lagged values of the dependent variable or independent variables can sometimes capture the autocorrelation and improve the model’s fit.
- Using a Different Model: In some cases, the autocorrelation may be due to a misspecified model. Consider using a different model that better captures the relationships in the data.
By addressing autocorrelation, you can improve the accuracy and reliability of your regression model, leading to more valid conclusions and better informed decisions. Ignoring autocorrelation can lead to biased estimates and incorrect inferences, highlighting the importance of detecting and correcting for this issue.
Conclusion
The Durbin-Watson test is a valuable tool for detecting autocorrelation in regression models. Understanding its assumptions and proper interpretation is crucial for ensuring the validity and reliability of your analysis. By following the guidelines and addressing any autocorrelation that is detected, you can build more robust and accurate models. So, keep this test in your toolkit, and you’ll be well-equipped to handle autocorrelation in your regression analyses! Remember, accurate models lead to better insights and more informed decisions. Whether you’re an economist, financial analyst, or data scientist, the Durbin-Watson test is a fundamental tool for ensuring the integrity of your results. Happy analyzing, guys!